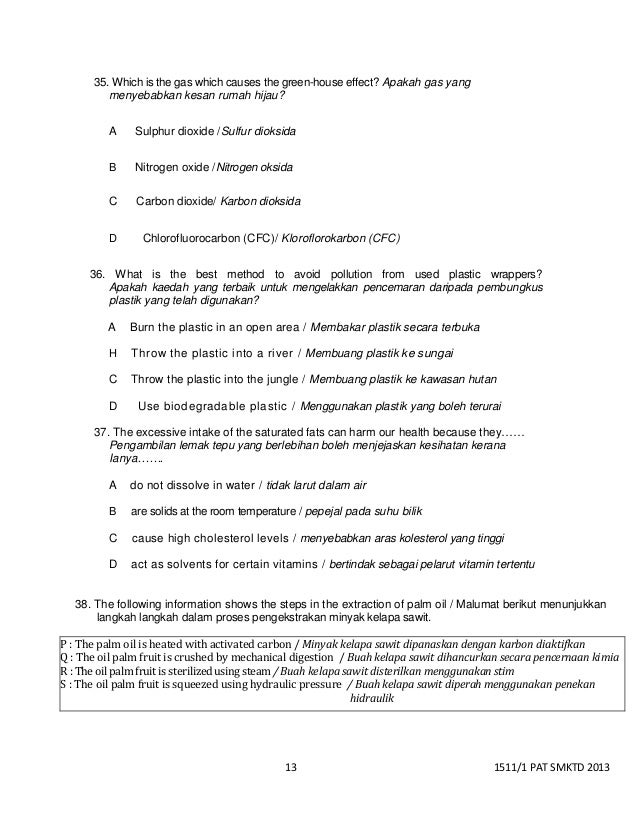
Langkah Proses Pengekstrakan Minyak Kelapa Sawit

Idea P P Sains Ekstrak Minyak Kelapa Sawit

Idea P P Sains Ekstrak Minyak Kelapa Sawit

Aktiviti Langkah Dalam Pengekstrakan Minyak Kelapa Sawit

Aktiviti Langkah Dalam Pengekstrakan Minyak Kelapa Sawit

4 3 Ekspeimen Proses Pengekstrakan Minyak Kelapa Sawit Doc

4 3 Ekspeimen Proses Pengekstrakan Minyak Kelapa Sawit Doc

Edupalm Carta Aliran Pemprosesan Minyak Sawit

Edupalm Carta Aliran Pemprosesan Minyak Sawit

4 3 Ekspeimen Proses Pengekstrakan Minyak Kelapa Sawit Doc

4 3 Ekspeimen Proses Pengekstrakan Minyak Kelapa Sawit Doc

Bab 2 Sebatian Karbon Lemak

Bab 2 Sebatian Karbon Lemak

Bab 2 Sebatian Karbon Lemak

Kelapa Sawit Pengekstrakan Minyak Kelapa Sawit Dan Kepentingannya Youtube

Kelapa Sawit Pengekstrakan Minyak Kelapa Sawit Dan Kepentingannya Youtube

4 34 Kelapa Sawit Pages 1 7 Text Version Anyflip

4 34 Kelapa Sawit Pages 1 7 Text Version Anyflip

Sains Ting 5 Peringkat Peringkat Proses Pengekstrakan Minyak Kelapa Sawit Spm 2018 Rank Order

Sains Ting 5 Peringkat Peringkat Proses Pengekstrakan Minyak Kelapa Sawit Spm 2018 Rank Order

Sains T5 Bab 5 A Doc Doc Document

Sains T5 Bab 5 A Doc Doc Document

4 Kelapa Sawit Serta Kepentinganya Kepada Pembangunan Negara

4 Kelapa Sawit Serta Kepentinganya Kepada Pembangunan Negara

Sistem Pengasingan Tempurung Dan Sabut Buah Kelapa Sawit Teknologi Malaysia

Sistem Pengasingan Tempurung Dan Sabut Buah Kelapa Sawit Teknologi Malaysia

Bab 4 Arkib Kerja Cikguyanto Yang Kachak

Bab 4 Arkib Kerja Cikguyanto Yang Kachak

4 8 4b Kelapa Sawit Dan Kepentingannya Kepada Pembangunan Negara Soalan Objektif Sains Spm

4 8 4b Kelapa Sawit Dan Kepentingannya Kepada Pembangunan Negara Soalan Objektif Sains Spm

Salam Sejahtera Mei 2018

Salam Sejahtera Mei 2018

E Guru Sains Tingkatan 5 Proses Pengekstrakan Minyak Kelapa Sawit Youtube

E Guru Sains Tingkatan 5 Proses Pengekstrakan Minyak Kelapa Sawit Youtube

Pdf Judul Penilaian Terhadap Prestasi Campuran Stone Mastic Asphalt Menggunakan Serat Kelapa Sawit Intan Salwani Academia Edu

Pdf Judul Penilaian Terhadap Prestasi Campuran Stone Mastic Asphalt Menggunakan Serat Kelapa Sawit Intan Salwani Academia Edu

Modul Nota Super Ringkas Kimia 2019 Pages 1 17 Text Version Anyflip

Modul Nota Super Ringkas Kimia 2019 Pages 1 17 Text Version Anyflip

Pdf Kemampanan Persekitaran Klaster Sawit Kajian Kes Di Sekitar Pulau Carey Selangor Environmental Sustainability Of Palm Cluster A Case Study In And Around Carey Island Selangor

Pdf Kemampanan Persekitaran Klaster Sawit Kajian Kes Di Sekitar Pulau Carey Selangor Environmental Sustainability Of Palm Cluster A Case Study In And Around Carey Island Selangor

T5 B Bab 4 Sebatian Karbon Pages 1 13 Text Version Anyflip

T5 B Bab 4 Sebatian Karbon Pages 1 13 Text Version Anyflip

Mid Year Pdf 1

Mid Year Pdf 1

Sains T5 Bab 5 A Doc

Sains T5 Bab 5 A Doc

Doc Rpt Sains Tingkatan 5 2014 Jill Raju Academia Edu

Doc Rpt Sains Tingkatan 5 2014 Jill Raju Academia Edu

Http Stmichaelipoh Edu My Wp Content Uploads 2020 04 Tg 5 Bab 456 Pdf

Http Stmichaelipoh Edu My Wp Content Uploads 2020 04 Tg 5 Bab 456 Pdf

Rpt Sains F5 2015

Rpt Sains F5 2015

Notakita Photos Facebook

Notakita Photos Facebook

Menganalisis Minyak Kelapa Sawit Dan Kepentingannya Terhadap Pembangu

Menganalisis Minyak Kelapa Sawit Dan Kepentingannya Terhadap Pembangu

Http Aplikasi04 Polisas Edu My Proceeding Index Php Menu Styless Neriec Download 36 Tempurung Kelapa Sawit Sebagai Bahan Tambah Dalam Penggunaan Batu Baur Dalam Campuran Konkrit Start 20

Http Aplikasi04 Polisas Edu My Proceeding Index Php Menu Styless Neriec Download 36 Tempurung Kelapa Sawit Sebagai Bahan Tambah Dalam Penggunaan Batu Baur Dalam Campuran Konkrit Start 20

Official Website Department Of Occupational Safety And Health Letupan Dan Kebakaran Di Kilang Mengekstrak Minyak Sawit Daripada Tanah Liat Peluntur

Official Website Department Of Occupational Safety And Health Letupan Dan Kebakaran Di Kilang Mengekstrak Minyak Sawit Daripada Tanah Liat Peluntur

05 Rancangan Pengajaran Tahunan 2017 Sains Ting 5

05 Rancangan Pengajaran Tahunan 2017 Sains Ting 5

Source : pinterest.com